La G@zette Nucléaire sur le Net! 
G@zette N°235/236
Un point sur les MINES et INCIDENTS

FESSENHEIM
 Conseil Municipal de Murbach – 68530
 7 décembre 2006


     Le Conseil Municipal de Murbach - 68530 réuni le 7 décembre 2006, demande instamment au gouvernement et au Président de la République de ne pas prolonger davantage l'exploitation de la plus vieille centrale nucléaire française. 
     La centrale de Fessenheim a été conçue à l'origine pour fonctionner une vingtaine d'années;  elle a déjà dépassé largement cette durée puisqu'elle aura 30 ans en 2007. EDF veut encore obtenir l'autorisation d'une prolongation de son activité pour au moins dix années de plus. Nous sommes déterminés à nous opposer à une telle décision car:
Ce serait une aberration économique:
     Le vieillissement des installations entraîne des arrêts de production fréquents et des travaux de maintenance qui coûtent très cher. La centrale est d'ores et déjà déficitaire et le sera de plus en plus.
     Les réinvestissements constants dans une centrale en bout de course constituent pour l'Alsace bien plus un frein qu'un moteur du développement économique. Nous creusons notre retard en matière d'énergies alternatives. Il serait bien plus profitable du point de vue de l'intérêt général, que les investissements se portent sur les énergies écologiquement sûres qui représentent un créneau porteur, susceptible de stimuler l'emploi.
     Sa production n'est plus nécessaire à la satisfaction des besoins du pays en électricité puisque la production nucléaire française est excédentaire et Fessenheim y contribue à raison de moins de 3%.
     La prolongation de Fessenheim n'est donc motivée ni par sa rentabilité, ni par son utilité effective.
     Cela ne servirait qu'à différer la phase inévitable du démantèlement:
     La fermeture et le démantèlement de la centrale de Fessenheim seront les premiers d'une longue série, et serviront de test pour toutes les autres centrales arrivant en bout de course. Le report de cette fermeture vise uniquement à:
     - gagner du temps face à l'imminent et énorme problème financier et écologique que pose la gestion de la fin de vie des vieilles centrales;
     - sauver temporairement les apparences sur l'état du parc nucléaire français et éviter que l'opinion publique, et donc aussi les actionnaires d'EDF, ne prennent la mesure des dépenses exorbitantes qui nous attendent.
     En menaçant gravement la sécurité des populations:
     C'est  irrationnel et scandaleux en terme de sécurité car la centrale cumule les facteurs de risques:
     - La conception de cette centrale de première génération présente de dangereuses faiblesses, en ce qui concerne en particulier l'enceinte de confinement et le système de refroidissement (Note 1);
     - Les cuves des deux réacteurs présentent des fissures évolutives;
     Elle se situe dans une région à forte sismicité, et des études ont montré que la nature alluvionnaire de son sous-sol risque de démultiplier les effets d'un tremblement de terre (Note 2);
     Sa mise en conformité avec les normes parasismiques actuelles s'avère impossible à atteindre en dépit des travaux entrepris (Note 3);
     Plusieurs anomalies ont été repérées en ce qui concerne les circuits de secours qui rendent leur fonctionnement, très aléatoire en cas de nécessité;
     Elle est construite en contrebas d'une digue dont on ne connaît pas la résistance à des séismes importants ou des désordres climatiques majeurs;
     La vétusté de certains équipements et le manque de formation des personnels se manifestent par la fréquence des incidents depuis plusieurs années;
     Enfin, la culture interne de sûreté a été dégradée par le recours systématique à la sous-traitance pour effectuer les travaux de maintenance et cela entraîne une connaissance insuffisante des matériels et un manque de réactivité (Note 4).
suite:
     Conscients qu'un accident, aux conséquences irréversibles et gravissimes sur la vie des populations et l'avenir de nos régions, peut intervenir à tout moment, nous, élus d'Alsace, affirmons que la prolongation de cette centrale au-delà de 2007 est inacceptable.
     Nous prenons nos responsabilités, face à l'opinion et face au gouvernement, en exigeant que l'État français s'applique à lui-même, les exigences de prévention des catastrophes technologiques.
     Nous appelons solennellement le gouvernement et le Président de la République à mettre en application concrètement le principe de précaution qui a été intégré dans la constitution, en prenant les décisions:
     - d'arrêter la centrale nucléaire de Fessenheim avant 2010, 
     - d'organiser le démantèlement contrôlé des installations, 
     - de prendre, au plus vite, les dispositions nécessaires à la transition énergétique.
     - de planifier les actions de formation permettant l'adaptation des salariés de la centrale et des entreprises sous traitantes au contexte professionnel nouveau. 

Note 1:
     La Centrale de Fessenheim est construite selon la technologie la plus ancienne dite du CPO, commune uniquement avec les quatre réacteurs de la centrale de Bugey. La conception des bâtiments de pilotage de la centrale et du circuit de refroidissement est technologiquement archaïque. La faiblesse la plus importante de cette centrale tient à ce que les réacteurs sont dotés d'une enceinte de confinement à paroi unique en béton avec étanchéité assurée par un revêtement métallique de faible épaisseur, sur la face interne de la paroi en béton. Toutes les autres centrales sont dotées d'une enceinte de confinement à paroi double en béton,  l'étanchéité étant assurée par un système d'aspiration entre les deux parois.
     Le refroidissement de la centrale est assuré par un circuit ouvert, alimenté par l'eau du Rhin susceptible d'être obstrué, alors que  la plupart des autres centrales sont dotées de tours aéroréfrigérantes. 
Note 2:
     Le sous-sol alluvionnaire est susceptible, selon Michel Granet de l'Institut Physique du Globe à Strasbourg, de démultiplier jusqu'à 8 ou 9 fois les effets d'un séisme sur  les installations. 
Note 3:
     En matière de sismicité, la règle fondamentale de sécurité a été modifiée en mai 2001 pour prendre en compte l'évolution des connaissances. L'application de cette règle à Fessenheim demanderait des transformations qui ne sont ni envisagées, ni envisageables.
Note 4:
     L'appel aux travailleurs intérimaires pour les travaux les plus exposés engendre une gestion plus laxiste de la sécurité; ainsi lors de travaux de maintenance le 14 octobre 2005, une négligence a entraîné la brusque montée de la radioactivité et la contamination de quatre personnes par inhalation de poussières radioactives. 

Commentaire Gazette
     Notre ami Pierre Delacroix a été indigné par l'article de C. Bataille et lui a répondu: nous publions ci-dessous d'une part l'article de C. Bataille et d'autre part la lettre de Pierre.
     Il est dommageable que les élus ou les industriels puissent prétendre interférer sur les autorisations de fonctionnement des réacteurs: cette autorisation après une visite technique approfondie est donnée pour une période de 10 ans. Il est donc impossible et faux d'écrire que les réacteurs fonctionneront 40 voire 50 ans. Peut-être, mais il faut attendre le verdict des visites décennales. Il est inadmissible de peser sur la sûreté, seule garante de la sauvegarde des populations et de leur environnement.

p.29

1- Christian Bataille
Député du Nord
Arrêter des centrales nucléaires en état de fonctionnement est un gaspillage énergétique national
Énergie & Politique
N° 14 - janvier 2007

Le parc électronucléaire le plus jeune du monde
     La France dispose d'un parc de centrales nucléaires récentes, régulièrement entretenues et dont un rapport parlementaire de l'Office des choix scientifiques, a démontré qu'elles peuvent fonctionner 40 voire 50 ans.
     A titre de comparaison, les États-Unis, qui ont une administration vigilante, vont prolonger la durée de vie de leurs réacteurs à 60 ans.
     En tout état de cause, les réacteurs d'EDF font l'objet tous les dix ans d'une inspection sévère par l'autorité de sûreté française, tout aussi rigoureuse et indépendante que l'américaine. L'autorisation de poursuivre l'exploitation est accordée, si toutes les conditions de sécurité sont remplies.
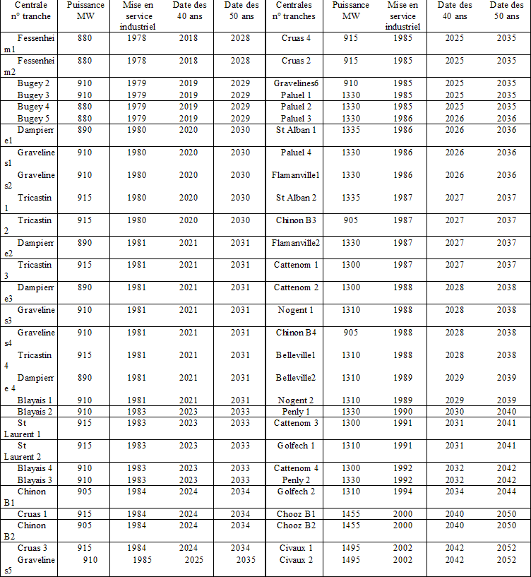
     Composé de 58 réacteurs, le parc électronucléaire de la France, qui n'a jamais eu d'incidents majeurs, a été construit selon le calendrier ci-dessous.
     Aucune raison technique ne justifie l'arrêt de l'un quelconque de ces réacteurs avant qu'il ait atteint ses 40 années de service, ni à Fessenheim, ni ailleurs. Ces machines sont en parfait état de fonctionnement et peuvent encore servir longtemps pour produire. Si ces réacteurs nucléaires garantissent à notre pays un approvisionnement suffisant et stable en électricité, nous ne disposons pas d'une marge énorme. On sait qu'au moindre incident climatique un peu aigu, nous sommes en situation de rupture d'approvisionnement. L'année 2006 a ainsi connu à trois reprises les niveaux maximums de consommation électrique jamais atteints dans l'histoire du pays. De plus, toute autre énergie de substitution entraînera une hausse du coût de l'électricité. Les énergies renouvelables sont chères et pénaliseraient les petits revenus.
Les énergies renouvelables: une électricité beaucoup plus chère.
Le gaz: des émissions de CO2 fortement augmentées c'est 500 éoliennes de 2 MW, dont chacune comporte un rotor de 70 mètres de diamètre installé sur un mât de 80 mètres de hauteur.
     En termes de production, l'équivalence ne serait toutefois pas assurée par cette substitution. La production des éoliennes ne peut en effet être garantie, tout spécialement en période de grands froids ou de canicule où le vent s'annule, ou en période de tempêtes où les éoliennes doivent être stoppées pour ne pas les endommager, ce qui les met à l'arrêt les trois quarts du temps. En conséquence et à titre d'exemple, l'Allemagne, malgré un énorme effort d'investissement dans l'éolien (1.8428 MW - 18.000 éoliennes), n'a produit, en 2006, avec celui-ci, que 4,3% de sa production électrique. En conséquence, des centrales thermiques supplémentaires doivent être installées, prêtes à prendre le relais des éoliennes quand celles-ci sont arrêtées.
     Autre coût supplémentaire, de nouvelles lignes électriques doivent être tirées pour connecter au réseau les éoliennes généralement situées sur des sites isolés.
     Au total, pour remplacer 5 réacteurs nucléaires de première génération (5 tranches de 900 MW) et revenir à un peu plus de 70% d'électricité nucléaire contre 80% aujourd'hui, il faudrait installer 2.250 éoliennes de 2 MW et 8 centrales thermiques au gaz naturel (500 MW chacune) garantissant la production d'électricité. Le surcoût pour les consommateurs atteindrait 14 milliards € sur 10 ans. Les émissions de CO2 supplémentaires dues aux 8 centrales à gaz atteindraient 15 millions de tonnes.
     Pour remplacer 12 réacteurs de première génération, et revenir à 60% d'électricité nucléaire, il faudrait 5.400 éoliennes de 2 MW et 20 centrales thermiques au gaz naturel. Le surcoût pour les consommateurs d'électricité atteindrait 30 milliards € avec une augmentation des émissions de CO2 de 140 millions de tonnes, soit près de 10% des émissions totales françaises.
suite:
Privilégier le gaz naturel, un risque géopolitique et environnemental inacceptable
     Le coût du remplacement du nucléaire par l'éolien n'est acceptable ni sur le plan économique ni sur le plan environnemental. Le solaire photovoltaïque ne convient pas non plus, en raison du coût des panneaux solaires, de l'intermittence de sa production et des très faibles puissances des installations.
     Les énergies renouvelables nouvelles ne fournissent pas de solution. Ce sont surtout des énergies de complément.
     Pour remplacer le nucléaire, il faudrait faire appel au gaz naturel, avec la création d'effet de serre supplémentaire et le non-respect du Protocole de Kyoto.
     Le plus satisfait de la décision de miser sur le gaz naturel serait sans doute GAZPROM, qui, avec Poutine, accentuerait son chantage énergétique sur l'Europe occidentale.
     Le remplacement de l'énergie nucléaire par d'autres énergies sera sans doute possible dans l'avenir. Mais nous n'avons plus ni charbon, ni gaz, ni pétrole, l'hydroélectricité étant à son potentiel quasi maximum.
     Il faut donc mettre au point des solutions inconnues aujourd'hui et qui demandent de longues recherches.
Proposer des solutions praticables
     Le programme socialiste, qui proposait d'aller progressivement vers une réduction de nos capacités nucléaires, avait une formulation prudente et réaliste.
     Nous aspirons à gouverner à nouveau et il ne faut pas plonger les Français dans l'incertitude quant à leur approvisionnement en électricité. Nous sommes suffisamment fragiles dans d'autres domaines, comme les carburants automobiles.
     De toute façon, la réduction de notre capacité nucléaire ne sera envisageable que lorsque nous aurons réussi, grâce à une vigoureuse politique d'économies d'énergie, à stabiliser puis à réduire la consommation d'électricité.
     Avoir une vision de politique industrielle est indispensable. Mais il ne faut pas la décrédibiliser par une approche tactique dépourvue d'analyse scientifique.
     Regarder le dossier de l'énergie, c'est s'inscrire dans une perspective longue, cinquante ans sans doute, qui suppose que l'on évite des annonces aussi spectaculaires qu'inapplicables.
     Une décision doit tenir compte des instances politiques et aussi des économistes, de techniciens, des syndicalistes, des citoyens, de ceux qui vivent ce problème au quotidien, qui veillent à leur niveau de vie et qui voient les choses dans le concret.
     Enfin, si c'est la préoccupation de la sécurité qui est mise au premier plan, c'est l'avis des autorités de sûreté qui doit servir d'arbitrage pour la poursuite ou l'arrêt des centrales.
Notes
- Assemblée nationale - 126 rue de l'Université - 75355 PARIS - tél: 01 40 63 94 04 - fax: 01 40 63 94 40
26 rue de Selle 59730 SOLESMES- tél: 03 27 37 37 37 - fax: 03 27 37 38 15
- Rapports parlementaires de Christian BATAILLE consultables par Internet sur le site www.assemblee-nationale.fr
- sur le site www.christianbataille.org: La durée de vie des centrales nucléaires et les nouveaux types de réacteurs (mai 2003)
- Les déchets radioactifs: pour s'inscrire dans la durée, une loi en 2006 sur la gestion durable des déchets radioactifs (mars 2005)
- Les nouvelles technologies de l'énergie et la séquestration du Carbone (mars 2006)
- Énergie: un enjeu politique, par Christian BATAILLE (rapport de 15 pages adressé à Ségolène ROYAL – août 2006) consultable sur le site www.christianbataille.org
p.30

2 - Lettre à Monsieur Christian BATAILLE,
Pierre Delacroix,
Président d'honneur de France Nature Environnement,
Membre de la CLI du CNPE du Blayais

Bordeaux, le 8 Février 2007

     Je viens de prendre connaissance de votre point de vue sur l'arrêt des centrales nucléaires les plus anciennes évoqué par Madame Ségolène Royal, point de vue paru dans votre Bulletin “ Énergie & Politique ” de Janvier 2007.
     Je regrette profondément votre positionnement, et ceci pour plusieurs raisons.
     Je prends acte, tout d'abord, de votre opposition frontale aux propositions de la candidate du PS, parti auquel vous appartenez. On ne peut qu'être surpris de vous voir ainsi aller à l'encontre des engagements de cette candidate, dont on pourrait supposer, a priori, que les membres de son Parti soutiennent les analyses. Je suppose qu'elle appréciera à sa juste valeur votre aide paradoxale à ses adversaires, dans le difficile combat qu'elle mène… 
     De fait, cela renvoie à vos propres positions sur le nucléaire proprement dit, déjà maintes fois exprimées à l'occasion de vos interventions, tant dans le cadre du Parlement que dans celui de l'Office Parlementaire d'Évaluation des Choix Scientifiques et Technologiques (OPECST) 
     Je souhaite tout d'abord faire quelques remarques de principe sur cet Office que vous présentez "naturellement" comme un garant de la vérité scientifique. 
     Or je crois qu'il est nécessaire, pour la compréhension des enjeux par nos compatriotes, de rappeler que cet Office n'est que la chambre de résonance des auditions que vous voulez bien y effectuer, et non un organisme scientifique en tant que tel, producteur d'études soumises à la critique de ses pairs scientifiques. 
     Cet organisme est donc capable de produire des synthèses, souvent fort intéressantes, mais qui dépendent, pour ce qui concerne leur crédibilité, des choix effectués parmi les personnalités ou parmi les organismes audités. La crédibilité de ce système, qui met sur la table de chaque parlementaire (aux frais de la nation) la synthèse de ces auditions, est donc fonction, et des choix d'audition, et des modalités de rédaction des rapporteurs. 
     Malgré le sérieux dont je ne doute pas avec lequel la plupart des rapporteurs et des membres du cet Office s'attachent à leur travail, je crains, grâce à la lecture et  l'expérience que nous avons des publications de l'Office depuis de longues années, que l'enthousiasme de ses membres, voire leur fascination pour telle ou telle orientation technologique ou scientifique - en particulier s'agissant des technologies dites "les plus avancées" - ne l'emporte parfois sur l'objectivité. 
     Ainsi vous parlez des réacteurs nucléaires français en vantant leur entretien, leur fiabilité, et en martelant qu'ils peuvent durer quarante, et même cinquante ans sans poser de problèmes. 
     Il est pourtant inadmissible d'affirmer, comme vous le faites, qu'aucune raison technique ne justifie l'arrêt de l'un quelconque de ces réacteurs avant ses 40 années de service, ni à Fessenheim, ni ailleurs. En effet, les autorisations de fonctionnement sont délivrées pour 10 ans par l'Autorité de Sûreté Nucléaire (ASN), après une visite technique approfondie (visite décennale). Or, aucun réacteur n'a franchi à ce jour le cap de la 3eme décennale: les plus vieux (Fessenheim 1et 2) subiront cette visite en 2008 et 2009.  La pression exercée ainsi par vos affirmations d'élu sur l'Autorité de Sûreté Nucléaire (ASN) est tout à fait scandaleuse. 
     Il faut cependant constater que l'Autorité de Sûreté Nucléaire n'a pas suffisamment souligné ce point : l'autorisation de fonctionnement dépend d'une analyse de sûreté approfondie, et ce n'est pas à EDF de prétendre que les réacteurs - même conçus pour 40 ans - ne seront pas stoppés si la sûreté l'exige. Les arguments médiatiques ou financiers ne sont pas recevables lorsque la sûreté est en jeu.

suite:
     Il est dommage aussi que vous puissiez oublier de dire qu'au rythme où certains pays envisagent de développer le nucléaire, les experts considèrent que les réserves d'uranium représenteront environ une cinquantaine d'années. Somme toute, un répit limité.
     Et après? ITER, peut-être? Quant aux autres experts, ils affirment que ce type de machine gigantesque et fort chère ne pourra jamais répondre aux besoins de l'humanité: il n'y a aucune énergie illimitée et gratuite.
     Faut-il ajouter qu'il faut du culot, et une bonne dose d'oubli, pour affirmer qu'il n'y a eu et qu'il n'y a "aucun problème" dans les centrales françaises, quand on regarde de plus près les problèmes génériques posés depuis trente ans par ces réacteurs (les couvercles de cuves, les générateurs de vapeur, les problèmes de Civaux, etc.), pour ne rien dire des incidents sérieux qui les ont affectés - telle l'inondation de certaines tranches de la centrale du Blayais en 1999, qui a révélé de sévères lacunes. Il faut de l'audace, aussi, pour affirmer que même la centrale de Fessenheim ne mérite pas d'être fermée, après les incidents dont elle a été le siège, et après qu'on l'ait vue arroser à la lance, lors de la canicule de 2003, pour en refroidir l'enceinte...
     Enfin, il faut du culot, après avoir approuvé dans le passé le développement à outrance de la consommation d'électricité - en particulier en fermant les yeux sur les campagnes scandaleuses d'EDF en faveur du chauffage électrique intégré, la multiplication des éclairages urbains, de l'éclairage discutable des autoroutes,... - pour se plaindre ensuite de voir atteindre "des pointes exceptionnelles de consommation". Encore oubliez-vous - pourtant, cela va se multiplier, en raison du réchauffement climatique - les mises en touche des centrales fluviales pour cause de canicules récurrentes... Il est vrai qu'il est plus facile - et cela demande moins d'effort d'anticipation aux parlementaires - d'appuyer sur le contact d'un climatiseur que d'inciter par une législation et une fiscalité intelligentes à la construction d'un habitat thermiquement équilibré.
     Vous parlez aussi de la production nucléaire française, depuis des années, en soulignant sa contribution à l'indépendance énergétique nationale. 
     Vous ne devriez pas vous arrêter en chemin, mais rappeler que du fait d'une anticipation exagérée des futures consommations - en clair, en raison d'une énorme erreur de programmation - entre huit et dix de ces réacteurs nucléaires travaillent quasi-exclusivement à l'exportation – bon an, mal an, 70 TWh par an. Or comme parlementaire, vous n'ignorez pourtant pas que jamais le Parlement, ni dans ses délibérations, ni dans les missions qu'il a, dès sa naissance, assignées à EDF, n'a inscrit dans ses statuts et ses missions le devoir d'exporter de l'énergie. 
     De même, vous ne sauriez ignorer l'impasse actuelle dans laquelle se trouve la question du devenir des déchets nucléaires, comme l'a bien montré le Débat Public récent sur la question. 
     Vous n'ignorez pas davantage le risque accidentel attaché à cette technologie (dont Tchernobyl a souligné l'extrême gravité), un risque d'ailleurs clairement admis par Monsieur Claude Frantzen, Inspecteur Général de la Sûreté Nucléaire d'EDF, que j'ai côtoyé durant quelques années au sein du CSSIN, et qui écrivait (Rapport de Sûreté d'EDF 2001) "il faut oser nommer l'inacceptable" ... et s'y préparer. 
     Au final, votre silence sur tous ces aspects du nucléaire français souligne que pour vous, en tant que député français, il semble normal qu'EDF exporte de l'énergie vers des pays déficitaires de l'UE, tandis que ce sont les citoyens français qui prennent en charge et les risques accidentels, et les déchets nucléaires. C'est, à mes yeux, une singulière façon, pour un élu, de contribuer à la sécurité du territoire national.
     Vous critiquez ensuite la proposition de Madame Royal de fermeture des réacteurs anciens, au motif que le coût de développement des énergies nouvelles ou renouvelables, supposées prendre le relais, est bien trop élevé. 
p.31


     Outre que cet argument ne semble pas freiner dans ce domaine nos voisins européens, c'est aussi un obstacle que vos collègues du Parlement n'ont jamais soulevé, à l'époque - c'est-à-dire depuis la fin de la 2ème guerre mondiale et surtout, depuis 1958 - où le budget de la nation a abondé tous les coûts de développement de l'énergie nucléaire en France, civile ou militaire, les deux étant, vous le savez mieux que quiconque, étroitement mêlés. Aujourd'hui encore, et alors même que tous les pays industriels s'efforcent de développer les énergies alternatives au pétrole, vous trouvez encore normal – puisque vous ne l'avez jamais contesté – que 90% du misérable budget "énergie"  du minuscule Ministère de l'Écologie soit consacrés au développement de la sûreté du nucléaire. En d'autres termes, vous critiquez aujourd'hui l'aide au décollage des alternatives énergétiques, après l'avoir jugée normale, s'agissant du nucléaire. Vous me permettrez de ne pas discerner la logique d'un tel positionnement et de m'en étonner...
     Et après ça, vous osez trouver que les énergies renouvelables sont trop chères? C'est paradoxal!  Encore une fois, on peut être surpris de voir nos voisins gérer apparemment sans difficulté un problème que vous grossissez à l'envi, s'agissant de notre pays.
     Car vous faites le compte des lignes de raccordement que susciterait la création des innombrables éoliennes nécessaires pour remplacer l'énergie nucléaire. Mais vous oubliez simplement de comparer avec le coût de la formidable toile d'araignée des lignes Très Haute Tension (THT) qu'il a fallu construire pour assurer la distribution de l'électricité en France, du fait de la centralisation actuelle de la production, que vous et vos collègues n'avez jamais contestée. 
     Vous oubliez aussi les lignes THT internationales qu'a tirées ou que cherche à tirer EDF (ou  aujourd'hui RTE) au delà des frontières, pour exporter les excédents d'énergie évoqués plus haut. 
     Il est vrai que là, l'argumentation du Parlement français est connue: pour les justifier, vous vous référerez sans doute à l'Union Européenne qui "nous l'impose". Comme pour tant d'autres sujets, l'Europe a bon dos, pour les parlementaires français: ici, elle est chargée, via les mécanismes du marché, d'habiller la "vocation exportatrice d'EDF" - elle est sa commode feuille de vigne, en quelque sorte. Cette façon de camoufler un problème par un autre est, selon moi, politiquement indigne. Parce que, comme pour tant d'autres élus français, ce double langage tend à fabriquer de l'europhobie, là où l'union, au contraire, devrait s'imposer.
     Mais ne faut-il pas aussi rappeler le lamentable score national en ce qui concerne le développement des énergies renouvelables, comparé aux autres pays de l'Union Européenne? Faut-il rappeler les usines de cellules photovoltaïques (Photowatt, Bourgoin-Jallieu) qui quittent le territoire, parce qu'en France, elles n'ont pas d'avenir? 
suite:
     Faut-il rappeler l'absence quasi totale de développement des énergies marines dans une France dotée de milliers de kilomètres de côtes, alors que partout en Europe, en Norvège, en Ecosse, au Portugal, on multiplie expériences  et installations? 
     Faut-il rappeler les interdictions grotesques d'installer des éoliennes off-shore, votées par le Conseil Général de la Manche à l'instigation de votre collègue, le sénateur Legrand?!
     Faut-il rappeler enfin, pour ramener votre misérable argumentaire sur les coûts à ce qu'il vaut, ce que n'ignore même pas un élève de lycée, à savoir que le coût unitaire du kW installé diminue si la création en devient massive, et que c'est même la raison d'être d'une industrie digne de ce nom? 
     D'ailleurs, il semble que l'Office Parlementaire aurait intérêt, pour son information, à se pencher sur les suggestions faites par des groupes d'experts autres que les promoteurs du nucléaire - en prenant par exemple connaissance des propositions de l'association Négawatt (www.negawatt.org).  Cela vous éviterait de vous polariser sur le "toujours plus" d'énergie à produire, alors qu'on change d'époque, et que le premier gisement à exploiter n'est plus ni le pétrole, ni le nucléaire, mais la maîtrise et l'économie d'énergie - le Watt qu'on n'utilise pas, ou "Négawatt". 
     Vous l'évoquez bien sûr, à la fin de votre éloge inconditionnel du nucléaire, pour mieux l'étouffer dans vos conclusions, en remettant - étonnant pour un élu, puisque "gouverner, c'est choisir" (Mendès France!) - la clé d'une décroissance éventuelle du nucléaire entre les mains de l'Autorité de Sûreté Nucléaire, alors même que vous voulez la contraindre à passer outre sur la sûreté des réacteurs, ce que malheureusement elle accepte trop facilement. 
     N'est-ce pas là favoriser, à la place d'une démocratie en bon état de marche, le poids d'un lobby technocratique (exploitants et CEA)?
     Comme tant de vos collègues, vous semblez en être resté à la fascination par la technique. Marqués à jamais par les mythes d'une certaine "modernité", celle des années 70-80: le Concorde, le Nucléaire, les TGV, les Autoroutes, les OGM, et le mythe du Désenclavement! 
     J'espère, et nous sommes nombreux à espérer, que vos successeurs auront à cœur de faire preuve d'une meilleure maîtrise de ce concept, et d'une attitude plus rigoureuse et plus courageuse face aux innombrables lobbies économiques qui déferlent sur la planète depuis quelques décennies.
     La campagne des élections présidentielles qui se développe a vu le problème écologique - dont l'énergie est un des éléments - remarquablement mis en avant. Je regrette d'autant plus que vous développiez à cette occasion le mélange des genres entre votre mandat électoral, qui a sa propre et respectable valeur, et les certitudes pseudo-scientifiques que vous assure la maîtrise de cet outil utile, mais discutable et certainement pas infaillible, que représente l'OPECST...
p.32
LE REACTEUR NUCLEAIRE EPR N'EST PAS LA SOLUTION
POUR L'AVENIR ENERGETIQUE DE LA FRANCE

     A la veille des élections présidentielle et législatives de 2007, moment-clé de notre démocratie, la construction de l'EPR commence à Flamanville, en Basse Normandie, sans que les Français aient été véritablement consultés. Cette décision bafoue la démocratie. 
     Ne vous y trompez pas: si l'EPR est construit, il sera bientôt suivi par plusieurs dizaines de nouveaux réacteurs nucléaires partout en France. C'est le renouvellement du parc nucléaire tout entier qui est en jeu aujourd'hui avec l'EPR.
     L'avenir énergétique de la France doit être choisi par tous les Français et non par le lobby pro-nucléaire qui défend exclusivement ses intérêts. 84% des Français plaident en faveur des énergies renouvelables et 77% d'entre eux souhaitent que la maîtrise de l'énergie soit développée (sondage BVA, 21-22 juillet 2006). De fait, seules la sobriété énergétique et les énergies renouvelables permettent de lutter contre le réchauffement climatique, assurant ainsi un avenir aux générations futures.
     Faites entendre votre voix en envoyant la carte Soleil aux candidats de votre choix à l'élection présidentielle afin qu'ils sachent que vous ne voterez pas pour eux s'ils ne se prononcent pas clairement contre le projet EPR.

MANIFESTONS TOUS ENSEMBLE CONTRE L'EPR le samedi 17 mars 2007
à Lille, Lyon, Rennes, Strasbourg et Toulouse

     Si l'EPR est construit, il absorbera une part importante des investissements consacrés à l'énergie, condamnant ainsi toute politique ambitieuse de maîtrise de l'énergie et de développement des énergies renouvelables. La France restera prisonnière d'un modèle énergétique dépassé, centralisé, polluant et dangereux. 
ON PEUT CHANGER LES CHOSES
     - Déclarez votre opposition à l'EPR aux candidats de votre choix à l'élection présidentielle en leur envoyant la carte Soleil et faites-le nous savoir en renvoyant une carte d'engagement.
     Agissez aussi sur www.stop-epr.org
     - Manifestons ensemble le samedi 17 mars 2007 à 14h à Lille, Lyon, Rennes, Strasbourg et Toulouse
     - Soutenez-nous: faites un  don au Collectif STOP EPR en renvoyant la carte d'engagement, 
     - Venez vous, exprimer aux réunions-débats sur l'EPR et ses alternatives qui auront lieu dans toute la France. 
Plus d'infos sur www.stop-epr.org
INFORMATIONS sur les rassemblements, départs groupés de toute la France
Coordination nationale des manifestations
jocelyn@stop-epr.org
tél 0223401013 / fax 0299330595
REJOIGNEZ LE COLLECTIF STOP EPR
     Le collectif STOP EPR rassemble l'ensemble des organisations, groupes locaux, personnalités et particuliers qui ont signé l'appel international contre l'EPR.
     281 organisations nationales dans 47 pays. 748 groupes locaux et plus de 45000 particuliers se rassemblent dans le collectif STOP EPR.
     A vous de rejoindre le collectif en signant l'Appel Internationnal contre l'EPR sur www.stop-epr.org
COLLECTIF STOP EPR
9 rue Demenge 69317 LYON CEDEX 04
Tél : 04 78 28 29 22/ Fax 04 72 07 70 04 

Retour vers la G@zette N°235/236